Mobilità oggi pressoché costante, ed un trend ancora in discesa nel numero di ospedalizzati.

Mobilità oggi pressoché costante, ed un trend ancora in discesa nel numero di ospedalizzati.

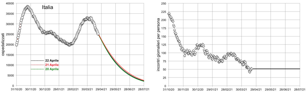
Numeri in discesa e mobilità pressoché costante. I grafici di RT permettono di mettere in evidenza la risalita della probabilità di trasmissione del contagio, a partire da fine Marzo, associata alla parziale perdita di immunizzazione, nel tempo, della dose di richiamo.


Situazione al 18 Gennaio. Nei grafici sono state inserite tutte le curve simulate con i dati che si sono succeduti negli ultimi 5 giorni. Picco previsto intorno al 26 Gennaio.

Situazione al 17 Gennaio 2022. Vengono riportati anche i dati di incidenza della variante recentemente forniti da ISS. Il modello trova, dal confronto con l’andamento di ospedalizzati, decessi e positivi, una distanza di trasmissibilità della omicron il 50% più alto della delta. E’ il valore ottimale per il quale la mobilità si mantiene circa costante, ad eccezione dell’ultimo tratto, in leggera discesa per l’introduzione delle molte zone gialle.

Se dovessimo ripiegare molto rapidamente ai livelli di mobilità del 15 Ottobre scorso (quando abbiamo deciso di rinunciare allo smart working).

Le previsioni calcolate sugli ultimi 4 giorni convergono tra loro. La mobilità rimane costante. Il picco atteso per il 1° Febbraio.

Sembra che la situazione si stia stabilizzando con il picco dell’ondata previsto per fine Gennaio. Il calcolo include l’effetto della perdita di efficacia vaccini, il ritmo giornaliero dei richiami con la terza dose, la perdita di efficacia nel tempo anche di quest’ultima somministrazione, l’incremento di trasmissività del contagio dovuto alla variante omicron.

Abbiamo introdotto l’impatto di omicron con un incremento della distanza di trasmissibilità di circa il 50% rispetto alla delta (questo comporta che l’incidenza di omicron ha raggiunto il 30% circa della popolazione di contagiati). La curva di mobilità rimane piatta, soprattutto grazie al fatto di aver tenuto conto della perdita di immunizzazione nei vaccinati controbilanciato dalle dosi booster. Per fittare bene i dati bisogna inoltre abbassare di un ulteriore fattore 3 il tasso di ospedalizzazione per i contagiati con variante omicron. Nella figura allegata: in arancione i risultati con omicron, in nero quelli senza. Viene fuori che, grazie al fatto che omicron si sta diffondendo tantissimo, tendiamo più rapidamente a raggiungere il livello di immunità sopra il 90%.

Grazie al modello, è stato possibile verificare che la modalità più efficace per riportare le curve di mobilità ad un valore di steady state (caratteristico del periodo che stiamo sperimentando) è quella di introdurre la perdita di efficacia delle vaccinazioni azioni attraverso una legge di decadimento esponenziale del tipo exp(-t/tc). Abbiamo posto tc = 365 giorni. Il modello calcola di conseguenza il numero di persone che vaccinate al tempo t0 perdono l’immunizzazione al tempo t1, prendendo in considerazione la suddetta legge esponenziale. Ovviamente si tiene anche conto che al tempo t1 un certo numero di vaccinati ricevono la dose booster che riporta lo stato di immunizzazione al suo massimo valore.
La curva in nero è quella che si ottiene senza tenere conto della perdita di immunizzazione; la curva in rosso è il risultato includendo perdita di immunizzazione ed effetto dose booster.

Le curve simulate sulla base dei dati degli ultimi quattro giorni si mantengono vicine le une alle altre. In queste condizioni, con una mobilità attestata su circa 470 incontri medi giornalieri per persona, il picco dell’ondata è previsto per fine anno. Si tratterà di un picco con circa 8.000 ospedalizzati. L’ondata con picco il 1° aprile ha raggiunto circa 34.000 ospedalizzati ed eravamo in zona rossa, oggi siamo in zona bianca e arriveremo a toccare neanche un quarto degli ospedalizzati del 1° aprile scorso!
